Infiltration in InfoSWMM and InfoSWMM SA for Horton, Green Ampt and Curve Number Options
Infiltration is the process of rainfall penetrating the ground surface into the soil over the pervious areas of Subcatchments.
InfoSWMM H2OMap SWMM InfoSWMM SA offers three choices for modeling infiltration:
Horton's Equation
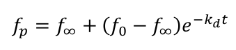
This method is based on empirical observations showing that infiltration decreases exponentially from an initial maximum rate to some minimum rate over the course of a long rainfall event, as shown in the following figure.
Horton's infiltration equation is given as
Input parameters required by this method include the maximum (fi) and minimum (f∞) infiltration rates, a decay coefficient (α) that describes how fast the rate decreases over time, and a regeneration constant that describes the restoration of infiltration rate during dry periods (αd). The regeneration equation is given as
"Horton’s method is empirical in nature and is perhaps the best known of the infiltration equations. Many hydrologists have a “feel” for the best values of its three parameters despite the fact that little published information is available. In its usual form it is applicable only to events for which the rainfall intensity always exceeds the infiltration capacity; however, the modified form used in SWMM is intended to overcome this limitation. The Horton method has been a part of SWMM since the program was first Release (Metcalf and Eddy et al., 1971a)." (Source EPA - Storm Water Management Model Reference Manual Volume I – Hydrology EPA/600/R-15/162 July 2015 )
"A. O. Akan developed a modified version of the Horton infiltration method (Akan, 1992; Akan and Houghtalen, 2003) that has been added as a separate infiltration option in SWMM 5. The method uses the same parameters as the original Horton method but instead of tracking the time along the Horton decay curve it uses the cumulative infiltration volume in excess of the minimum infiltration rate as its state variable. It assumes that part of the infiltrating water will percolate deeper into the soil at the minimum infiltration rate (commonly taken as the soil’s saturated hydraulic conductivity). As a result, it is the difference between the actual and minimum infiltration rates that accumulates just below the surface that causes infiltration capacity to decrease with time. This method is purported to give more accurate infiltration estimates when low rainfall intensities occur " (Source EPA - Storm Water Management Model Reference Manual Volume I – Hydrology EPA/600/R-15/162 July 2015 )
Green-Ampt Method
The Green-Ampt equation is a physically-based model which can give a good description of the infiltration process. This method for modeling infiltration assumes that a sharp wetting front exists in the soil column, separating soil with some initial moisture content below from saturated soil above. The input parameters required are the initial moisture deficit of the soil, the soil's hydraulic conductivity, and the suction head at the wetting front.
"The Green-Ampt equation (Green and Ampt, 1911) has received considerable attention in recent years. The originalequation was for infiltration with excess water at the surface at all times.Mein and Larson (1973) showed how it could be adapted to a steady rainfall input and proposed a way in which the capillary suction parameter could be determined. Chu (1978) has shown the applicability of the equationto the unsteady rainfall situation, using data for a field catchment. The Green-Ampt method was added into SWMM III in 1981 by R.G. Mein and W. Huber (Huber et al., 1981)." (Source EPA - Storm Water Management Model Reference Manual Volume I – Hydrology EPA/600/R-15/162 July 2015 )
Curve Number Method
This approach is adopted from the NRCS (SCS) Curve Number method for estimating runoff. It assumes that the total infiltration capacity of a soil can be found from the soil's tabulated Curve Number. During a rain event this capacity is depleted as a function of cumulative rainfall and remaining capacity. The input parameters for this method are the Curve Number, the soil's hydraulic conductivity (used to estimate a minimum separation time for distinct rain events), and a regeneration constant that describes the restoration of infiltration capacity during dry periods.
"The Curve Number infiltration method is new to SWMM 5. It is based on the widely used SCS (Soil Conservation Service, now known as the NRCS – Natural Resource Conservation Service) curve number method for evaluating rainfall excess. First developed in 1954, the method is embodied in the widely used TR-20 and TR-55 computer models (NRCS, 1986) as well as most hydrology handbooks and textbooks (e.g., Bedient et al., 2013). It was added into SWMM to take advantage of its familiarity to most practicing engineers and the availability of tabulated curve numbers for a wide range of land use and soil groups. The original curve number method is a combined loss method that lumps together all losses due to interception, depression storage, and infiltration to predict the total rainfall excess from a rainfall event. The SWMM uses a modified, incremental form of the method that accounts only for infiltration losses, since the other abstractions are modeled separately. Other incremental applications of the curve number method have been proposed by Chen (1975), Aron et al. (1977) and Akan and Houghtalen (2003)." (Source EPA - Storm Water Management Model Reference Manual Volume I – Hydrology EPA/600/R-15/162 July 2015 )







