Head loss due to Transitions and Fittings (Local loss)
Whenever flow velocity changes direction or magnitude in a conduit (e.g., at fittings, bends, and other appurtenances) added turbulence is induced. The energy associated with that turbulence is eventually dissipated into heat that produces a minor head loss, or local (or form) loss. The local (minor) loss associated with a particular fitting can be evaluated by

where V = mean velocity in the conduit (m/s, ft/s)
K = loss coefficient for the particular fitting involved.
The table given below provides the loss coefficients (K) for various transitions and fittings.
Table 3-3: Typical Minor Loss Coefficients
| Type of form loss |
K |
| Expansion |
Sudden |
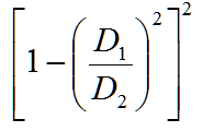
D1 < D2 |
|
| Gradual |
D1/D2 = 0.8 |
0.03 |
| D1/D2 = 0.5 |
0.08 |
| D1/D2 = 0.2 |
0.13 |
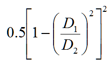
| Contraction |
Sudden |
D1 > D2 |
|
| Gradual |
D2/D1 = 0.8 |
0.05 |
| D2/D1 = 0.5 |
0.065 |
| D2/D1 = 0.2 |
0.08 |
| Pipe entrance |
Square-edge |
0.5 |
| Rounded |
0.25 |
| Projecting |
0.8 |
| Pipe exit |
Submerged pipe to still water |
1.0 |
| Tee |
Flow through run |
0.6 |
| Flow through side outlet |
1.8 |
| Orifice |
(Pipe diameter
/orifice diameter) |
D/d = 4 |
4.8 |
| D/d = 2 |
1.0 |
| D/d = 1.33 |
0.24 |
| Venturi (long-tube) |
(Pipe diameter
/throat diameter) |
D/d = 3 |
1.1 |
| D/d = 2 |
0.5 |
| D/d = 1.33 |
0.2 |
| Bend |
90o miter bend with vanes |
0.2 |
| 90o miter bend without vanes |
1.1 |
| 45o miter bend |
0.2 |
| Type of form loss (continued) |
K |
| Bend |
45o smooth bend:
(bend radius
/pipe diameter) |
r/D = 1 |
0.37 |
| r/D = 2 |
0.22 |
| r/D = 4 |
0.2 |
| 90o smooth bend |
r/D = 1 |
0.5 |
| r/D = 2 |
0.3 |
| r/D = 4 |
0.25 |
| Closed return bend |
2.2 |
| Sluice |
Submerged port in wall |
0.8 |
| As conduit contraction |
0.5 |
| Without top submergence |
0.2 |
| Valve |
Globe valve, fully open |
10 |
| Angel valve, fully open |
5.0 |
| Swing check valve, fully open |
2.5 |
| Gate valve, fully open |
0.2 |
| Gate valve, half open |
5.6 |
| Butterfly valve, fully open |
1.2 |
| Ball valve, fully open |
0.1 |
Source: Nicklow and Boulos (2005)
Related