Infiltration in InfoSWMM and SWMM5

Infiltration in InfoSWMM and SWMM5

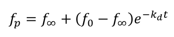
Infiltration is the process of rainfall penetrating the ground surface into the soil over the pervious areas of Subcatchments. InfoSWMM H2OMap SWMM InfoSWMM SA offers three choices for modeling infiltration: Horton's Equation This method is based on empirical observations showing that infiltration decreases exponentially from an initial maximum rate to some minimum rate over the course of a long rainfall event, as shown in the following figure. Horton's infiltration equation is given as Input parameters required by this method include the maximum (fi) and minimum (f∞) infiltration rates, a decay coefficient (α) that describes how fast the rate decreases over time, and a regeneration constant that describes the restoration of infiltration rate during dry periods (αd). The regeneration equation is given as 🔍 Horton's Method Explained 📚 Horton’s method stands out as an empirical approach, boasting the title of perhaps the most renowned infiltration equations 🏆. Despite the scarcity of published information, many hydrologists possess an intuitive understanding 🧠 for the optimal values of its trio of parameters. Traditionally, it's tailored for events where the rain's intensity consistently surpasses the infiltration capacity. Yet, the SWMM's modified version aims to bridge any gaps. Since its inception, the Horton method has been an integral component of SWMM, first introduced by Metcalf and Eddy et al. in 1971a 📅. (Source: EPA - Storm Water Management Model Reference Manual Volume I – Hydrology EPA/600/R-15/162 July 2015) 📌 A. O. Akan's Contribution 🔄 A. O. Akan pioneered a revised version of the Horton infiltration method, tracing back to works in 1992 and a collaboration with Houghtalen in 2003 🌟. This variant, incorporated into SWMM 5, parallels the original Horton method in parameters. But instead of merely tracking time along the Horton decay curve, it emphasizes the cumulative infiltration volume exceeding the minimal infiltration rate. It operates on the assumption that some infiltrating water will seep deeper into the soil, matching the soil’s saturated hydraulic conductivity. This results in a diminishing infiltration capacity over time, primarily due to the difference between actual and minimum infiltration rates. This method reportedly offers more precise infiltration estimates during instances of low rainfall intensities 🌦. (Source: EPA - Storm Water Management Model Reference Manual Volume I – Hydrology EPA/600/R-15/162 July 2015) 🍃 Green-Ampt Method Unveiled 🌱 The Green-Ampt equation, a physically-grounded model, provides an in-depth portrayal of the infiltration process 📈. This approach envisions a distinct wetting frontier within the soil structure, distinguishing initially moist soil from the saturated layers above. It calls for inputs like the soil's initial moisture deficit, its hydraulic conductivity, and the suction head at the wetting front. Recent years have seen a surge in attention towards the Green-Ampt equation 🌟, initially introduced by Green and Ampt in 1911. Mein and Larson (1973) showcased its adaptability to steady rainfall and proposed a methodology to determine the capillary suction parameter. Chu (1978) further demonstrated its applicability under unsteady rainfall conditions using field catchment data. Recognizing its potential, the Green-Ampt method was seamlessly integrated into SWMM III in 1981, thanks to the efforts of R.G. Mein and W. Huber 🙌. (Source: EPA - Storm Water Management Model Reference Manual Volume I – Hydrology EPA/600/R-15/162 July 2015) e Horton infiltration method (Akan, 1992; Akan and Houghtalen, 2003) that has been added as a separate infiltration option in SWMM 5. The method uses the same parameters as the original Horton method but instead of tracking the time along the Horton decay curve it uses the cumulative infiltration volume in excess of the minimum infiltration rate as its state variable. It assumes that part of the infiltrating water will percolate deeper into the soil at the minimum infiltration rate (commonly taken as the soil’s saturated hydraulic conductivity). As a result, it is the difference between the actual and minimum infiltration rates that accumulates just below the surface that causes infiltration capacity to decrease with time. This method is purported to give more accurate infiltration estimates when low rainfall intensities occur " (Source EPA - Storm Water Management Model Reference Manual Volume I – Hydrology EPA/600/R-15/162 July 2015 ) Green-Ampt Method The Green-Ampt equation is a physically-based model that can give a good description of the infiltration process. This way of modeling infiltration is based on the idea that there is a sharp wetting front in the soil column that separates soil that is slightly damp at the bottom from soil that is completely wet at the top. The input parameters required are the initial moisture deficit of the soil, the soil's hydraulic conductivity, and the suction head at the wetting front. "The Green-Ampt equation (Green and Ampt, 1911) has received considerable attention in recent years. The original equation was for infiltration with excess water at the surface at all times.Mein and Larson (1973) showed how it could be adapted to a steady rainfall input and proposed a way in which the capillary suction parameter could be determined. Chu (1978) has shown the applicability of the equation to the unsteady rainfall situation, using data for a field catchment. The Green-Ampt method was added to SWMM III in 1981 by R.G. Mein and W. Huber (Huber et al., 1981)." (Source: EPA - Storm Water Management Model Reference Manual Volume I – Hydrology EPA/600/R-15/162 July 2015 ) Curve Number Method This approach is adopted from the NRCS (SCS) Curve Number method for estimating runoff. It assumes that the total infiltration capacity of a soil can be found from the soil's tabulated Curve Number. During a rain event this capacity is depleted as a function of cumulative rainfall and remaining capacity. The input parameters for this method are the Curve Number, the soil's hydraulic conductivity (used to estimate a minimum separation time for distinct rain events), and a regeneration constant that describes the restoration of infiltration capacity during dry periods. "The Curve Number infiltration method is new to SWMM 5. It is based on the widely used SCS (Soil Conservation Service, now known as the NRCS – Natural Resource Conservation Service) curve number method for evaluating rainfall excess. First developed in 1954, the method is embodied in the widely used TR-20 and TR-55 computer models (NRCS, 1986) as well as most hydrology handbooks and textbooks (e.g., Bedient et al., 2013). It was added into SWMM to take advantage of its familiarity to most practicing engineers and the availability of tabulated curve numbers for a wide range of land use and soil groups. The original curve number method is a combined loss method that lumps together all losses due to interception, depression storage, and infiltration to predict the total rainfall excess from a rainfall event. The SWMM uses a modified, incremental form of the method that accounts only for infiltration losses, since the other abstractions are modeled separately. Other incremental applications of the curve number method have been proposed by Chen (1975), Aron et al. (1977) and Akan and Houghtalen (2003)." (Source EPA - Storm Water Management Model Reference Manual Volume I – Hydrology EPA/600/R-15/162 July 2015 )

Leave a Reply

Translate »
Scroll to Top

Discover more from SWMM5, ICM SWMM, ICM InfoWorks, Ruby and Vibe Apps, InfoSWMM, InfoSewer

Subscribe now to keep reading and get access to the full archive.

Continue reading